Página 3 de Artigos sobre aminoácidos

Alimentação de semiprecisão em porcos de engorda (1/2): Diferenciação segundo peso inicial
Se os custos de uma alimentação de precisão podem parecer inacessíveis, este sistema baseia-se em fornecer uma alimentação diferenciada para grupos concretos de animais. Quais os critérios usados para formar os grupos?
Efeito do aumento do rácio lisina-energia líquida sobre rendimento de porco de engorda
Efeito do aumento de lisina e energia metabolizável na dieta sobre o rendimento das porcas e suas ninhadas
Uso de complexo metal-aminoácido sobre crescimento e integridade locomotora de porcos
Nível dietético óptimo de PB em dietas suplementadas com aminoácidos cristalinos para porcas lactantes de alto rendimento

Estratégias alimentares para lidar com êxito com o desmame (1 de 2): a alimentação da porca
A alimentação da porca durante a gestação e lactação é muito importante para o desenvolvimento correcto do feto ou para garantir a produção de leite.
Requisitos óptimos de DIE Trp:Lys para porcos de engorda

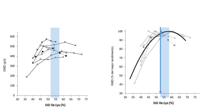
Dietas baixas em proteína e necessidades de isoleucina em leitões
Níveis deficitários de isoleucina em rações com baixo teor em proteína bruta podem comprometer o crescimento e eficiência alimentar dos leitões.

Como ajudar as nulíparas em quarentena a melhorar seu estatuto imunológico?
Além das medidas profiláticas, a nutrição de porcas de reposição desempenha um papel crucial no desenvolvimento de seu estado de saúde. Esta revisão aborda diferentes estratégias para aumentar o estatuto imunológico durante a quarentena.
Cloridrato de cisteamina encapsulado na dieta sobre qualidade da carne de porco
Efeito dos teores dietéticos ricos em proteínas e lisina e baixo teor de gordura e fibras na qualidade da carne de porco

Variabilidade da composição química e do valor nutricional do bagaço de soja
Os bagaços de soja procedentes dos EUA, Brasil e Argentina, grandes exportadores, podem apresentar diferenças nutricionais acima do esperado.

Saúde intestinal: Potenciação da função de barreira e resposta imunitária
Probióticos e aminoácidos para melhorar a barreira intestinal. Ac. Ómega-3, plasma, probióticos, prebióticos, etc. para impulsionar a resposta imunitária.
Efeito da suplementação extra de metionina na dieta sobre qualidade da carne de porco
Suplementação com L-arginina em dietas de porcas no final da gestação
Um resumo semanal das novidades da 3tres3.com.pt
faz login e inscreve-te na lista