A web em 3 minutos
14-Out-2019
3tres3.com.pt
Comunidade Profissional Suinícola
 
 
 
 

Que quantidade de vírus PSA é necessária para provocar uma infecção através da água ou da ração?
Enric Marco 
 

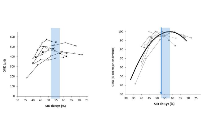
Dietas baixas em proteína e necessidades de isoleucina em leitões
Marta Cirera 
Figura 1: Resultados&nbsp; do crescimento em leit&otilde;es obtidos em diferentes estudos segundo diferentes r&aacute;cio Ile:Lys DIS . O crescimento expressa-se em valor absoluto ou em percentagem do melhor crescimento. <em>Fonte: Ajinomoto Animal Nutrition Europe</em>
 

A que preço está o porco na Coreia do Sul?
 
FOTO DA SEMANA

No matadouro, foi detectada a presença exclusiva de zonas de consolidação (hepatização) cranioventral, de cor vermelha, as quais são sugestivas de Pneumonia enzoótica. Qual o principal agente associado a esta patologia?

Semana de 09-Out-2019
 
PERGUNTA DA SEMANA

Na última categorização de antibióticos, implementada na União Europeia, onde situamos as cefalosporinas de 3ª geração?

 

Uso de lecitina e L-carnitina na dieta: efeitos sobre composição de ácidos gordos e metabolismo lipídico
 

Estilo de reacções dos porcos: respostas comportamentais, neurobiológicas e imunológicas
 
 
[SCRIPT:precios]
  [SCRIPT:banners_3min]
 
rssmantenha-se informado com o canal rss da secção rssSegue-nos no Twitter
 
AGENDA
16 - 19 Out Itália 10º Simpósio International sobre Porco Mediterrâneo
19 - 21 Out China The 8th Leman China Swine Conference
22 - 24 Out Brasil XIX CONGRESSO NACIONAL ABRAVES
23 - 26 Out México Congresso Nacional de Suinicultores
CLASSIFICADOS
Actualmente temos 29 Ofertas de emprego 18 Procura de emprego 24 Vendas 1 Compras

25-Set-2019
Venda em vários países

Venda Suinicultura
   Vende-se suinicultura em ciclo fechado, capacidade 600 reprodutoras, todo ciclo engorda. Licença ...

22-Set-2019
Venda em Portugal

APARAS DE PAPEL JORNAL PARA PARTOS
A utilização de aparas de papel nas maternidades melhora consideravelmente as médias de desmame gara...

11-Set-2019
Venda em vários países

pecúaria
vende-se pecúaria Bidoeira leiria.Com capacidade para 300 porcos engorda.Actualmente está preparada ...

30-Ago-2019
Venda em Espanha

Aparas de papel jornal para partos
Somos uma empresa dedicada à fabricação de chip de papel de jornal destinado a cama de leitões para ...

Recebes este e-mail por estares incrito na lista A web em 3 minutos
Para deixar de receber este e-mail configura as tuas subscrições desde a tua página de utilizador

3tres3 é uma web dedicada à suinicultura. Contém artigos de especialistas em suíno sobre sanidade, maneio, meio ambiente, biossegurança, bem-estar, genética, nutrição, instalações e mercados, além de notícias, preços do porco e das matérias primas, casos clínicos, fórum de discussão e agenda....
 
3tres3.com.pt
Comunidade Profissional Suinícola
 
Produção de porcos
3tres3.com
pig333.com
3trois3.com
3tres3.com.pt
3tre3.it
3tres3iberico.com
3trzy3.pl
pig333.cn
3drei3.de
pig333.ru
3tres3.com.br
  Produção de carne
carndeporc.cat
carne.3tres3.com
carne.3tres3.com.pt