A web em 3 minutos
22-Abr-2019
3tres3.com.pt
Comunidade Profissional Suinícola
 
 
Boehringer
 
 
 

Xilanases
David Solà-Oriol 
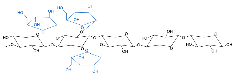
Figura 3. Estrutura química dos arabinoxilanos. As ramificações da arabinose e sua distribuição variam entre cereais e entre variedades do mesmo cereal.
 

Grande procura de carne implica nova forte subida da cotação dos porcos
Luís Tavares Dias 
matadouro
 
FOTO DA SEMANA

Que parasita é o responsável por estas lesões hepáticas?

Semana de 18-Abr-2019
 
PERGUNTA DA SEMANA

Em toda a Europa, os caçadores fornecem alimento aos javalis, sabe que quantidade?

 

Comparação entre doses baixas de ZnO encapsulado e níveis farmacológicos de ZnO em leitões desmamados
 

Transmissão da Febre Aftosa durante a fase de incubação
 
 
[SCRIPT:precios]
  [SCRIPT:banners_3min]
 
rssmantenha-se informado com o canal rss da secção rssSegue-nos no Twitter
 
AGENDA
24 - 25 Abr Espanha MAGAPOR INTERNATIONAL TECHNICAL MEETING
24 - 25 Abr Vietname Pig Feed Quality Conference 2019
8 - 10 Mai Reino Unido Animal Genetics and Diseases 2019
8 - 9 Mai Portugal 9º Congresso Nacional de Suinicultura
CLASSIFICADOS
Actualmente temos 27 Ofertas de emprego 14 Procura de emprego 18 Vendas 3 Compras

25-Mar-2019
Venda em Portugal

APARAS DE PAPEL JORNAL PARA PARTOS
A utilização de aparas de papel nas maternidades melhora consideravelmente as médias de desmame gara...

Recebes este e-mail por estares incrito na lista A web em 3 minutos
Para deixar de receber este e-mail configura as tuas subscrições desde a tua página de utilizador

3tres3 é uma web dedicada à suinicultura. Contém artigos de especialistas em suíno sobre sanidade, maneio, meio ambiente, biossegurança, bem-estar, genética, nutrição, instalações e mercados, além de notícias, preços do porco e das matérias primas, casos clínicos, fórum de discussão e agenda....
 
3tres3.com.pt
Comunidade Profissional Suinícola
 
Produção de porcos
3tres3.com
pig333.com
3trois3.com
3tres3.com.pt
3tre3.it
3tres3iberico.com
3trzy3.pl
pig333.cn
3drei3.de
pig333.ru
  Produção de carne
carndeporc.cat
carne.3tres3.com
carne.3tres3.com.pt